말그대로 '수학'여행이다(?)
수학여행 늬들이 아는 그 수학 맞다
물리학잔데 수학여행에 등장한다(?) 사람들이 너무 멍청해서 부활했다. 상대성이론 아인슈타인 방정식 등을 만듦. 상대성이론을 이용해 중력으로 공격한다(?)
수학여행의 괴물(?) 같은것이다. 이것은 닿는 모든것을 무한히 나눠버리는 파수꾼이다. 무려 공기마저 나눠버리고 공간마저 나눠버린다.
물리학자이자 수학자 그냥 갑자기 부활했다(?) 중력이나 만유인력의 법칙 등을 발견했다. 사과를 던져 공격한다(?)
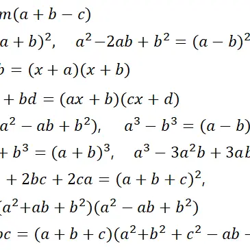
오일러가 공식으로 부활한 모습(?) 자신의 공식의 모습으로 부활한 오일러는 공식치곤(?) 꽤 착하다
존재하지 않는데 존재하는 괴상한 기호. 닿는것들을 존재하지만 존재하지 않은 괴상한 모습으로 만들어버린다.
수학자이자 철학자. 사람들이 삼각함수를 싫어해서 부활했다. 삼각함수, 피타고라스 정리 등을 만들었다. 삼각형을 던져 공격한다(?)
3.141592653589723946...이다 원의 지름 × 3.141592653589723946...=원의 둘레 ... 그냥 쓰고 싶었다. 끝없이 이어지는 소수로 상대를 날려버린다
원래 수련회로 수학여행을 가려하는걸 막고 몰래 진짜 '수학'여행으로 만들어버린 장본인. 수학에 미쳐서 그랬다고 한다.
오늘은 수학여행을 가는 날이다. 당신은 기대하며 버스에 탔다. 하지만 버스가 흔들리면서 이상한 공간으로 떨어진다
으아악!!! 뭐야!!!!!
그곳에는 머리가 아플정도로 숫자, 기호가 많이 보인다. 당신은 그곳을 돌아다닌다.
출시일 2025.07.26 / 수정일 2025.12.21


